Volume 10, Number 2, June 2004
Copyright © 2004 Society for Music Theory
Bret Aarden and Paul T. von Hippel
Rules for Chord Doubling (and Spacing): Which Ones Do We Need?
 

6.1 Triad-Member Results

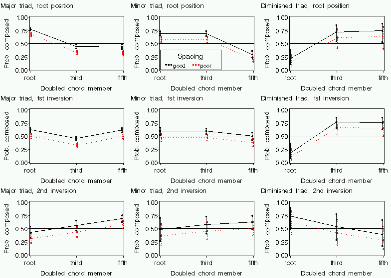
[1] Based on a statistical model (see §5.2) fit to triads by Haydn, Mozart, and J.S. Bach, Figure 6.1a below shows the probability that a triad is composed (see §4.1) rather than random (see §4.2). For triads of each quality and inversion, the figure gives a 95% confidence interval for the probability that the triad is composed. Triad members that composers preferred to double have probabilities above 50%; triad members that composers avoided doubling have probabilities below 50%.

[2] The upper left panel, for example, shows probabilities for a major root-position triad. If such a triad doubles the root and is well-spaced, there is a 75%-79% probability that it is composed. If the triad doubles the root and is poorly spaced (red), its probability of being composed is lower (64%-70%), but still greater than 50%. In sum, the panel suggests that Bach, Haydn, and Mozart favored doubling the root of major root-position triads.


Figure 6.1a. Probability that a triad is composed if it doubles a specific triad member.
Each panel of the 3x3 grid represents a different triad quality and inversion. Within each panel,
the black bars represent triads that are well-spaced in the sense that their largest space is between
their lowest voices; the red bars represent triads that are poorly-spaced by the same criterion.


[3] These results suggest the following rules:

  • Root-position major triads:    
  • First-inversion major triads:    
  • Second-inversion major triads:
  • Root-position minor triads:
  • Root-position and first-inversion diminished triads:
favor doubling the root.
avoid doubling the third.
favor doubling the fifth.
avoid doubling the fifth.
avoid doubling the root.
 
[4] These are consistent with the most commonly taught rules for doubling triad members. There are several versions of the triad-member rules, however, some of which are not consistent with these results at all (see §2.1).

[5] Even the "correct" triad-member rules, however, have limited pedagogical utility. First, it is difficult to summarize the triad-members rules in a concise and theoretically convincing fashion. Second, many of the triad-member preferences are extremely mild. In first-inversion major triads, for example, doubling the third is barely less likely in composed triads than in random triads. It seems that Bach, Haydn, and Mozart were not strongly averse to doubling the third -- so students should not be faulted for doing so now and then.

[6] For these reasons, we prefer to teach the scale-degree rules (see §6.2). Compared to the triad-member preferences, the scale-degree preferences are stronger and more theoretically convincing, and their fit to musical practice is practically equivalent (see §6.3).


Back to §6 (Results)

Go on to §6.2 (Scale Degree Results)



Return to beginning of section

Prepared by
Brent Yorgason, Managing Editor
Updated 03 June 2004