Nicholas Cook, Prompting Performance: Text, Script, and Analysis in Bryn Harrison's être-temps

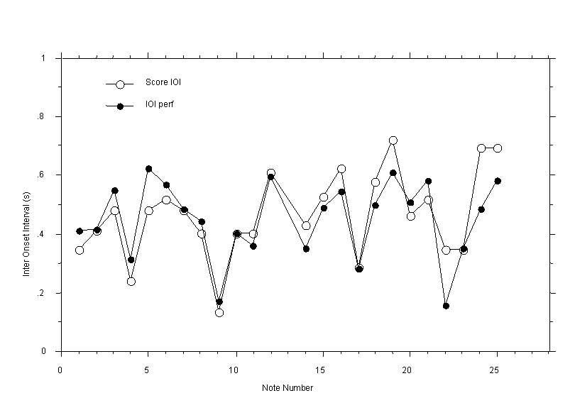
Figure 2. Timing profile for mm. 70-84, lowest voice only